Економија
КОНЦЕПТИ: Разбирање на експоненцијалниот раст со Правилото 70
07.12.2023г.
Во динамичната сфера на економијата и финансиите, способноста да се дешифрира како се менуваат различните количини со текот на времето е суштинска вештина. Преку имплементација на „Правилото 70“, може да се дојде до значителни сознанија за експоненцијалните стапки на раст. Со користење на оваа алатка, може брзо да се процени времетраењето што е потребно за една променлива да се удвои, претпоставувајќи конзистентна годишна стапка на раст.
Во неговото јадро, Правилото 70 тврди дека ако го поделите бројот 70 со годишната стапка на раст (изразена како процент), ќе дојдете до груба апроксимација на бројот на години што се потребни за дадена количина да се удвои.
Еве ја формулата: Години за дуплирање на варијабла = 70 / Годишна стапка на раст (%).
Пример, доколку земеме една инвестиција која доживува годишна стапка на раст од 5%.
Дуплирање на инвестицијата = 70 / 5 = 14 години.
Значи, ако се претпостави постојана стапка на раст од 5%, инвестицијата е подготвена да се удвои во големина за рок од приближно 14 години.
Ова правило има широки импликациите во реалниот свет, а неговата убавината лежи во неговата разновидност и применливост за низа сценарија:
- 1. Финансиски вложувања: Која е временската рамка за двојно зголемување на вашите пари на орочен депозит со каматна стапка од 7%? Со користење на правилото 70 доаѓаме до следниот резултат: 70 / 7 = 10 години.
- 2. Динамика на населението: Ако населението на градот расте со стабилна годишна стапка од 2%, населението ќе се удвои во големина за приближно 35 години (70/2).
- 3. Економски енигми: Да претпоставиме дека БДП на една земја расте со константа од 3% годишно. Според правилото 70, економијата ќе се удвои во рок од околу 23 години (70/3).
Иако правилото 70 е навистина вредна алатка, императив е да се признаат неговите ограничувања. Правилото зависи од претпоставката за непроменлива стапка на раст, што го прави помалку прецизен кога ќе се соочиме со флуктуации. Економските сложености честопати може да доведат до отстапувања од предвидувањата на правилото. Во суштина, Правилото 70 нуди поедноставена порта за разбирање на трендовите на експоненцијалниот раст, која служи како ментална кратенка, овозможувајќи брзи проценки и обезбедувајќи основно разбирање на долгорочните трендови.
Правилото од 70 им помага на инвеститорите да ја одредат вредноста на нивната инвестиција во моментов и каква би можела да биде во иднина. Иако ова е груба проценка, правилото може да биде многу ефективно. Полесно е да се открие колку години би биле потребни за таа инвестиција да се удвои во големина. Инвеститорите лесно можат да користат таква метрика за да проценат различни инвестиции. Тие може да ја вклучат стапката на раст за пензионерското портфолио на лицето или приносите на заеднички фондови. На пример, ако една пресметка го даде резултатот од 15 години пред портфолиото да се удвои во големина, а инвеститорот претпочита тој резултат да биде околу 10 години, тогаш би можел да направи соодветни промени во распределбата на неговото портфолио за да ја зголеми стапката на раст на инвестицијата.
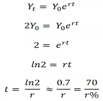
Правилото 70 е едноставно резултат на математика компонента. Математички, износот по t периоди што расте со стапка r по период е еднаков на почетната сума помножено со експоненцијалот од стапката на раст r и бројот на периоди t.
Износот е претставен со Y, бидејќи Y обично се користи за означување на реалниот БДП, што обично се користи како мерка за големината на економијата.
Ако ги анализираме податоците за Македонија, бројките искажани преку основните индикатори на Министерството за финансии растот на БДП ги покажува следното:

За тaбелата треба да се нагласи дека не е пресметана вредност за негативниот раст, иако оваа формула може да се имплементира и во таква конотација, додека пресметката за 2023 година е направена врз основа на проекциите на Министерството за финансии. Доколку ги земеме во предвид само просекот од позитивните периоди на раст, излегува дека на Македонија ќе и бидат потребни нешто повеќе од 25 години за да го дуплира БДП, додека со растот од 2,5% во 2023 ќе ни требаат уште 30 години за да ја удвоиме целта.